menu
Á¤º¸ À̾߱â
»õ·Î¿î ¼Ò½ÄÀ» ¾È³»ÇØ µå¸³´Ï´Ù.
Á¶È¸¼ö 2195
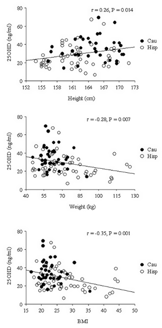
Á¦¸ñ ºñ¸¸Àΰú Ű ÀÛÀº »ç¶÷µé¿¡°Ô °áÇÌµÈ ºñŸ¹ÎD
20081215_01

ºñ¸¸Àΰú Ű ÀÛÀº »ç¶÷µéÀº ºñŸ¹ÎD °áÇÌ »óÅ´Ù.

ÀÌ ³î¶ó¿î »ç½ÇÀº ÇÑâ ¼ºÀåÇÏ´Â

Æò±Õ 19¼¼ÀÇ »ç¶÷µéÀ» ´ë»óÀ¸·Î ÇÏ¿© ¹àÇôÁø °ÍÀÌ´Ù.



¹Ì±¹ USCÀÇ´ë¿Í McGill ÀÇ´ë ¿¬±¸ÆÀÀÌ

Àú¸íÇÑ ³»ºÐºñ ´ë»çÇÐȸ ÇмúÁö ÃÖ½ÅÈ£¸¦ ÅëÇØ ¹ßÇ¥ÇÑ ³»¿ëÀº ´ÙÀ½°ú °°´Ù.



20081215_02

20081215_10



Ç÷Áß ³óµµ Áõ°¡¿Í ºñ·ÊÇÏ¿© üÁß °¨¼Ò



À§ ±×·¡ÇÁ¿¡ ³ªÅ¸³ª ÀÖ´Â °Íó·³

ºñŸ¹ÎD Ç÷Áß ³óµµ°¡ ÀûÀº »ç¶÷Àϼö·Ï

۰¡ ÀÛ°í

´õ¿í üÁßÀÌ Áõ°¡Çϸç

ºñ¸¸µµ(BMI)µµ Áõ°¡ÇØ ÀÖ´Ù.



20081215_03



³»Àå Áö¹æ»ìµµ ¹Ýºñ·Ê



ºñŸ¹ÎD°¡ °áÇÌµÇ¸é ½Åü ¿ÜºÎ ³»ºÎ¸¦ ¸··ÐÇϰí

Áö¹æÁúÀÌ Áõ°¡ÇÑ´Ù.



À§ Ç¥¿¡¼­ º¸´Â ¹Ù¿Í °°ÀÌ

ºñŸ¹ÎD °áÇÌ »óÅ´Â

ÀÎü³» ¸ðµç Á¶Á÷¿¡¼­ Áö¹æ»ìÀ» Áõ°¡ ½Ã۰í ÀÖ´Ù.



À̷μ­ ºñŸ¹ÎD ´Â ¿©·¯ °¡Áö ÀÛ¿ë Áß¿¡¼­µµ

ÁöÁú ´ë»ç¸¦ Á¤»óÈ­½ÃŲ´Ù´Â »ç½ÇÀ» ¾Ë ¼ö ÀÖ´Ù.



20081215_04



ÁöÁú ´ë»ç¸¦ Á¤»óÈ­½ÃÄÑ

°¢Á¾ ´ë»ç ÁúȯÀÌ Á¶ÀýµÈ´Ù´Â »ç½Çµµ ÀÔÁõ µÇ´Â ¼ÀÀÌ´Ù.



»Ó¸¸ ¾Æ´Ï¶ó ºñ¸¸Á¶ÀýÀÎÀÚ Leptin À» Á¶ÀýÇÑ´Ù´Â »ç½Çµµ

¹ßÇ¥µÇ¾î ÀÖ´Ù.



20081215_05



Àü½Å¿¡ ºÐÆ÷µÈ ºñŸ¹ÎD ¼ö¿ëü



ºñŸ¹Î-D´Â ÇÙÀ» À§½ÃÇÏ¿© Àü½Å Á¶Á÷¿¡ Á¸ÀçÇÑ´Ù.

µû¶ó¼­ ¸ðµç ´ë»ç¿Í º´Å¿¡ °ü¿©ÇÑ´Ù.



20081215_06



ÇöÀç±îÁö ¾Ë·ÁÁø ºñŸ¹ÎDÀÇ È¿´ÉÀº

– °ñ´Ù°øÁõ À̿ܿ¡µµ

– ¾Ï

– ´ç´¢º´

– ·ù¸ÓƼ½º °üÀý¿°

– ¼ö¸í ¿¬Àå µîÀÌ´Ù.



20081215_07



ºñ¸¸ ÀÚüµµ ºñŸ¹Î °áÇÌÀ» À¯¹ß



ºñŸ¹ÎD ´Â Áö¹æÁú ¼Ó¿¡¼­ »ó´ç·® ÀúÀåµÈ´Ù.

ºñ¸¸ÀÚ´Â ÀÚ±â Áö¹æ ¼Ó¿¡ »ó´ç·®ÀÇ ºñŸ¹ÎD ¸¦ °¡µÖ³õ°í ÀÖ´Ù.



µû¶ó¼­ Ç÷Áß ³óµµ°¡ ³·¾ÆÁö°í

½ÉÀåÀ̳ª ôÃß µî ÇÊ¿äÇÑ °÷À¸·Î º¸³»ÁÖÁö ¸øÇÑ´Ù.



20081215_08



41% °¡ ºñŸ¹ÎD °áÇÌÁõ



Àß ¸Ô°í Àß »ç´Â ÀÚµé

ÅÂ¾ç ±¤¼±À» ¸¶À½²¯ ÂÉÀÌ´Â ±âȸ¸¦ ¸¸³£ ÇÒ ¼ö ÀÕ´Â

»çÃá±â µé¿¡°Ô¼­

¹«·Á 41%°¡ ºñŸ¹ÎD °áÇÌÁõÀÌ´Ù.



25(OH)D ·Î °áÇÌÁõ ÆÇ´Ü



ºñŸ¹Î D´Â À°·ù³ª ¾ßä¿¡¼­ ¼·ÃëµÈ´Ù.

ÇÞºûÀ» ÂÉÀ̸é ÇǺο¡¼­ »ý¼ºµÈ´Ù.



±×·¯³ª ÀÌµé ¸ðµç ºñŸ¹ÎD ´Â

ä³»¿¡¼­ Ȱ¼ºÇü 25 OH-D (¿¹: alfacalcidol)·Î º¯ÇÏ¿© Ç÷Áß¿¡ ³ªÅ¸³­´Ù.

Ç÷ÁßÀÇ 25 OH-D ³óµµ°¡ 30ng/mLÀÌÇÏÀÌ¸é °áÇÌÁõÀ¸·Î ÆÇ´ÜÇÑ´Ù.



20081215_09



ºñŸ¹ÎD3 ÇÏ·ç 400 IU ÀÌ»ó ¼·ÃëÇϸé

Ç÷Áß³óµµ Á¤»ó (30ng/mLl) ÀÌ»óÀ» À¯ÁöÇÒ ¼ö ÀÖ´Ù.

(Ȱ¼º ºñŸ¹Î alfacalcidol (¿¹: Çѿà Á¦¾à ¾ËÆÄº»: ÇÏ·ç 1-2 ĸ½¶)

±×·¯³ª ÇÏ·ç 1¸¸ IU ¸¦ ¼·ÃëÇØµµ ºÎÀÛ¿ëÀº ¾ø´Ù.

ü³»¿¡¼­ ÀúÀåµÇ¸é¼­ »ç¿ëµÇ±â ¶§¹®ÀÌ´Ù.



[±Ù°Å]

2008 Nov 4. Journal of Clinical Endocrinology and Metabolism

Vitamin D Status and its Relationship to Body Fat, Final Height

And Peak Bone Mass in Young Women; Richard Kremer, M.D. Ph.D.

Patricia P. Campbell, B.A.Timothy Reinhardt, Ph.D.Vicente Gilsanz, M.D. Ph.D.

Department of Medicine, McGillUniversityHealthCenter, McGillUniversity (R.K.);

US Department of Agriculture, NationalAnimalDiseaseCenter (T.R.)

Department of Radiology, ChildrensHospitalLos Angeles,

KECKSchool of Medicine, University of Southern California (P.P.C., V.G.)

E-mail: vgilsanz@chla.usc.edu







Ãßõ¼ö 363
³»¿ë¸¸Á·µµ
´äº¯ ³»¿ë ¸¸Á·µµ Á¶»ç´Â ÇâÈÄ ´õ ÁÁÀº ¼­ºñ½º¸¦ À§ÇÑ µ¥ÀÌÅÍ·Î »ç¿ëµË´Ï´Ù.

»ó´ã¾È³»

010. 6605 . 4128

±Ã±ÝÇÑ Á¡Àº ¿Â¶óÀλó´ã ¹× ÀüÈ­·Î ¹®ÀÇÇϽøé
ÀÚ¼¼ÇÏ°Ô ¾È³»ÇØ µå¸®°Ú½À´Ï´Ù.

¿Â¶óÀÎ 1:1 ¹®ÀÇ