menu
Á¤º¸ À̾߱â
»õ·Î¿î ¼Ò½ÄÀ» ¾È³»ÇØ µå¸³´Ï´Ù.
Á¶È¸¼ö 1960
Á¦¸ñ ºñŸ¹ÎD °í·® Åõ¿©´Â ¿ë¹ý¿¡ µû¶ó °ñÀýÀ» À¯¹ß½ÃŲ´Ù. ±× ÀÌÀ¯¿Í ÀÓ°è ¿ë·®
20100607_01

¿ÕÁß¿ÕÀ¸·Î ºÒ¸®¿ì´Â ºñŸ¹ÎD ´Â

°¨¿°Áõ ¿¹¹æ°ú

¸¸¼º Áúȯ ¿¹¹æ Ä¡·á¿Í

¾Ï ¿¹¹æ°ú

°ñ°Ý±Ù À¯Áö¿¡

Àý´ë·Î °áÇÌ µÇ¾î¼­´Â ¾È µÇ´Â ºñŸ¹ÎÀÌ´Ù.



20051023_28



ÇØ¼­ ÇÏ·ç 1,000 IU ÀÌ»óÀº ¼·ÃëÇØ¾ß ÇÑ´Ù.



±×·¯³ª ´©±¸³ª°¡

°¡Àå ¸¹ÀÌ °áÇ̵Ǿî ÀÖ´Â ºñŸ¹ÎÀÌ´Ù.



20100607_02



ƯÈ÷ °ñ°Ý±Ù ÆÄ±«°¡ ±Þ°ÝÈ÷ ÁøÇàµÇ´Â

70´ë ÀÌ»óÀÇ ³ëÀο¡ ´ëÇØ¼­´Â

¸ÅÀÏ ¸ÅÀÏÀÇ ºñŸ¹ÎD º¹¾à Áؼö°¡ ¾î·Æ´Ù.



20100513_01



¶§¹®¿¡ ÇÏ·ç º¹¿ëÇÒ ºñŸ¹ÎD ¸¦ 1ÁÖ¿¡ ÇÑ ¹ø º¹¿ëÇÏ°Ô Çϰųª

ÇÑ ´Þ¿¡ ÇÑ ¹ø º¹¿ëÄÉ ÇÏ´Â ¹æ¹ýÀÌ ÀÌ¿ëµÇ¾î ¿Ô´Ù.



20081215_01



ºñ±³ ÀÓ»ó °á°ú¿¡ ÀÇÇϸé

1ÀÏ 1ȸ º¹¿ë¹ýÀ̳ª

1ÁÖ 1ȸ º¹¿ë¹ýÀ̳ª

ÇÑ´Þ 1ȸ º¹¿ë¹ýÀº

Ç÷Áß À¯Áö ³óµµµµ µ¿ÀÏÇÒ »Ó ¾Æ´Ï¶ó

±× È¿°ú¿Í µ¶¼º µî ¾ÈÀü¼º ¸é¿¡¼­

¸Å¿ì µ¿ÀÏÇϹǷΠ¾î´À °ÍÀ» ¼±ÅÃÇØµµ »ó°ü¾ø´Ù.



20081215_08



±×·¯³ª

1 ³â ºÐÀ» ´Ü ÇÑ ¹ø¸¸ º¹¿ëÇÏ´Â

1 ³â 1ȸ 50 ¸¸ IU º¹¿ë¹ýÀº



Ç÷Áß³óµµ´Â

ÇÑ ´Þ¿¡ ÇÑ ¹ø º¹¿ëÇÏ´Â ¹æ¹ý°ú °ÅÀÇ ºñ½ÁÇÏÁö¸¸



±× È¿°ú°¡ Á¤¹Ý´ë ÀÛ¿ëÀ¸·Î ³ªÅ¸³­´Ù´Â

³î¶ó¿î »ç½ÇÀÌ ÃÖÃÊ·Î ¹ß°ßµÇ¾ú´Ù.



20100607_03



Áï ºñŸ¹ÎD ¸¦ º°µµ·Î ¼·Ãë ÇÏÁö ¾Ê´Â ³ëÀΰú ºñ±³Çؼ­

³«»óÀ» ´õ ¸¹ÀÌ ÇÏ°Ô Çϰí

°ñÀýÀ» ´õ ¸¹ÀÌ À¯¹ß½ÃŲ´Ù.



20100607_04

[±×¸²] Á¶Á÷¿¡¼­  Ȱ¼º ºñŸ¹ÎD (Calcifetriol) À» ÆÄ±«½ÃŰ´Â È¿¼Ò Cyp24



±× ÀÌÀ¯ÀÎ Áï

ºñŸ¹ÎD ´Â ¿ë·®ÀÌ ÀÏÁ¤ ÇѰè Á¡À» ÃʰúÇϸé

Ȱ¼º ºñŸ¹ÎD ¸¦ ÆÄ±«½ÃŰ´Â

È¿¼Ò (Cyp 24)°¡ Áõ°¡Çϱ⠶§¹®ÀÌ´Ù.

 


20100607_05

 


ºñŸ¹ÎDÀÇ µ¶ÀÛ¿ëÀº ³ªÅ¸³ªÁö ¾ÊÁö¸¸

³«»ó ºóµµ°¡Áõ°¡Çϰí

°ñÀýÀÌ Áõ°¡ÇÏ´Â µî

À̸¥¹Ù ºñŸ¹ÎD °áÇÌ Áõ»óÀ» ³ªÅ¸³½´Ù.



20100607_06



À̴ ȣÁÖ ¸á¹ö¸¥ ÀÇ´ë ¿¬±¸ÆÀÀÌ

7,204¸íÀ» ´ë»óÀ¸·Î ÇÏ¿© ¹àÇô³½

¹«ÀÛÀ§ ºñ±³ÀÓ»ó °á°úÀ̸ç

¹Ì±¹ ÀÇ»çȸÁö (JAMA) ÃÖ½ÅÈ£¸¦ ÅëÇØ ¹ßÇ¥µÈ °ÍÀÌ´Ù.



20100607_07



1³â 1ȸ 50¸¸ IU º¹¿ë ±ºÀÌ

ºñŸ¹ÎD º¹¿ë ¾È ÇÑ ´ëÁ¶±º¿¡ ºñÇØ

°ñÀýÀ²µµ ³ô°í ³«»ó ºóµµµµ ³ô´Ù.



70¼¼ ÀÌ»ó ¿©ÀÎÀ» ´ë»óÀ¸·Î ÇÏ¿©

¸Å³â °¡À»-°Ü¿ï ö¿¡ ´Ü Çѹø¾¿¸¸

ºñŸ¹ÎD3 50¸¸ IU ¸¦ º¹¿ë½Ã۰í

4 ³â°£ ³«»óÀ²°ú °ñÀýÀ²°ú

Ç÷Áß ³óµµ¿Í ºÎÀÛ¿ëÀ» ´ëÁ¶±º°ú ºñ±³ÇÏ¿´´Ù.



20100607_08

[±×¸²]  ¿ÞÂÊ: ³«»ó (falls)  ¿À¸¥ÂÊ : °ñÀý (Fracture)

¡¡¡¡¡¡ºñŸ¹ÎD 50¸¸ ´ÜÀ§ ¸¦ 1³â 1ȸ¸¸ º¹¿ëÇÑÀÚ´Â

¡¡¡¡¡¡ºñŸ¹ÎD¸¦ º°µµ·Î ÀüÇô º¹¿ë ¾È ÇÑÀÚ º¸´Ù

¡¡¡¡¡¡³«»ó ºóµµ°¡ ³ô°í °ñÀý ºóµµ°¡ ´õ Áõ°¡ ÇÑ´Ù.



20100607_23



20100607_09

[±×¸²]  ºñŸ¹ÎD 50 ¸¸ ´ÜÀ§¸¦ 1³â 1ȸ¸¸ º¹¿ëÇÑÀÚ´Â

¡¡¡¡¡¡ºñŸ¹ÎD ¸¦ º°µµ·Î ÀüÇô º¹¿ë ¾È ÇÑÀÚ¿Í

¡¡¡¡¡¡ºñŸ¹ÎD ÀÇ Ç÷Áß ³óµµ¿¡ º° Â÷À̰¡ ¾ø´Ù.



ºñŸ¹ÎD´Â °í¿ë·® º¹¿ëÇØµµ

Ç÷Áß ³óµµ´Â ³ô¾ÆÁöÁö ¾Ê´Â ¾àÀÌ´Ù.



ºñŸ¹ÎD ´Â ÇÏ·ç Çѹø 1,000 IU ¸¦ º¹¿ëÇÏ´ø

1ÁÖÀÏ¿¡ ´Ü Çѹø¸¸ 7,000 IU¸¦ Çѹø¿¡ º¹¿ëÇÏ´ø

ÇÑ ´Þ¿¡ ´Ü Çѹø¸¸ 3¸¸ IU¸¦ º¹¿ëÇÏ´ø

1³â¿¡ ´Ü Çѹø¸¸ 50¸¸ IU¸¦ º¹¿ëÇÏ´ø

º¹¿ëÇÑ ºñŸ¹ÎD ´Â ¾Æ¹«¸® °í·®À̶óµµ

ÀÏ´Ü °£¿¡ ÀúÀåµÈ´Ù.



±×¸®°í

¸ÅÀÏ ÀÏÁ¤·® ¸¸Å­¸¸

Ȱ¼º ºñŸ¹ÎD ÀÎ 25-(OH) V-D ÇüÅ·Πº¯ÇÑ´Ù.



ÀÌ È°¼º ºñŸ¹Î Calcifediol ÀÌ

Ç÷ÁßÀ¸·Î À¯¸®µÇ¾î

ÀÏÁ¤ÇÑ Ç÷Áß ³óµµ¸¦ À¯ÁöÇÑ´Ù.



20100607_10



20100607_24



À§ Ç¥¿¡¼­ ó·³

50¸¸ IU º¹¿ë±ºÀ̳ª

ºñŸ¹ÎD ¸¦ º¹¿ë ¾ÈÇÑ À§¾à±ºÀ̳ª

Ç÷Áß ³óµµ´Â ÇöÀúÇÑ Â÷À̰¡ ¾ø´Ù.



ÀÌ´Â °í³óµµ·Î º¹¿ëÇÑ ºñŸ¹ÎDÀÇ È°¼ºÇüÀº

È¿¼Ò Cyp 24 ¿¡ ÀÇÇØ ÆÄ±«µÇ±â ¶§¹®ÀÌ´Ù.



20100607_11

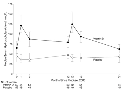
[±×¸²]  ºñŸ¹ÎD 50 ¸¸ ´ÜÀ§¸¦ 1³â 1ȸ¸¸ º¹¿ëÇÑÀÚ´Â

¡¡¡¡¡¡¸Å³â Çѹø¾¿ º¹¿ëÇÒ ¶§¸¶´Ù ù 3°³¿ù ±â°£ µ¿¾È¿¡

¡¡¡¡¡¡Ç÷Áß ³óµµ°¡ ¼Ú±¸ÃÆ´Ù°¡  ±Þ°ÝÈ÷ °¨¼ÒÇÑ´Ù.



50 ¸¸ ´ÜÀ§ º¹¿ëÀº µ¶ÀÛ¿ëÀº ¾ø´Ù.



ºñŸ¹ÎD  50 ¸¸ ´ÜÀ§¸¦ ´Ü 1ȸ Åõ¿©Çϸé

7-21ÀÏ »çÀÌ¿¡ ÃÖ°í Ç÷Áß ³óµµ¿¡ µµ´ÞÇϰí

¾Æ·¡ Ç¥¿¡¼­Ã³·³

±× ÈÄ ºÎÅÍ Ç÷Áß ³óµµ°¡ ¼­¼­È÷ °¨¼ÒÇÑ´Ù.



20100607_25



ºñŸ¹ÎD µ¶ÀÛ¿ëÀÌ ³ªÅ¸³ª´Â

Ç÷Áß ³óµµ´Â 375-500 nmol/L À» ÃʰúÇØ¾ß ÇÏÁö¸¸



º» ÀÓ»ó¿¡¼­´Â

ÃÖ°í Ç÷Áß ³óµµ°¡ 208 nmol/L ¿¡ ºÒ°úÇß´Ù.



µû¶ó¼­ µ¶ÀÛ¿ëÀº ³ªÅ¸³ªÁö ¾Ê¾Ò´Ù.



20100607_12



±×·¯³ª

ºñŸ¹ÎD °íÇÔ·®ÀÇ ºÎÀÛ¿ëÀº

ºñŸ¹ÎD °áÇÌÀÌ´Ù.



¾Æ·¡ Ç¥¿¡¼­ ó·³

ºñŸ¹ÎD 50¸¸ ´ÜÀ§ 1ȸ ¿ä¹ýÀº

ºñŸ¹ÎD °áÇÌ Áõ»óÀÌ

ºÎÀÛ¿ëÀ¸·Î ³ªÅ¸³µ´Ù.



Áï °ñÀýÀÌ Áõ°¡ÇÑ °ÍÀÌ´Ù.



20100607_26



20100607_13



¸Å³â º¹¿ëÇÒ ¶§ ¸¶´Ù

ù 3 °³¿ùÀº ¾ÇÈ­ »óÅÂ



1³â¿¡ Çѹø ºñŸ¹ÎD 50¸¸ ´ÜÀ§¸¦ Çѹø¿¡ º¹¿ëÇϸé

º¹¿ëÇÑ ³¯·Î ºÎÅÍ 3°³¿ù°£Àº

ºñŸ¹ÎD °áÇÌ Áõ»óÀÌ ´õ¿í ½ÉÇÏ°Ô ³ªÅ¸³­´Ù.



±×¸®°í ±× ÈĺÎÅÍ 9 °³¿ù°£Àº

ºñŸ¹ÎD °áÇÌ Áõ»óÀÌ ¾à°£ ¿ÏÈ­µÈ »óÅ·ΠÁö¼ÓµÈ´Ù.



20100607_27



ÀÌ´Â ¸Å³â 1ȸ º¹¿ëÇÒ ¶§¸¶´Ù ¹Ýº¹µÇ´Â Çö»óÀÌ´Ù.



°úÀ× Åõ¾à¿¡ ´ëÇÑ

¹Ýµ¿¼º ¹æ¾î ÀÛ¿ëÀÌ °­ÇÏ°Ô ³ªÅ¸³ª±â ¶§¹®ÀÌ´Ù.



20100607_14

[±×¸²] Á¶Á÷¿¡¼­  Ȱ¼º ºñŸ¹Î-D (Calcifetriol) À» ÆÄ±«½ÃŰ´Â È¿¼Ò Cyp 24



°£¿¡´Â 1³â ºÐ ÀúÀåµÇ¾î À־

Á¶Á÷Àº ºñŸ¹ÎD °áÇÌÁõ



1ÀÏ 1ȸ 1,000 IU º¹¿ë¹ýÀ̳ª

1ÁÖ 1ȸ 7,000 IU º¹¿ë¹ýÀ̳ª

ÇÑ´Þ Çѹø 3¸¸ ´ÜÀ§ º¹¿ë¹ýÀº

¸ðµÎ°¡ µ¿ÀÏÇÏ°Ô °ñÀýÀ» ¿¹¹æÇÑ´Ù.



ºñŸ¹Î D È¿°ú¸¦ ÃæºÐÈ÷ ¹ßÈÖÇÑ´Ù.



20100607_15

[±×¸²] Á¶Á÷¿¡¼­  Ȱ¼º ºñŸ¹Î-D (Calcifetriol) À» ÆÄ±«½ÃŰ´Â È¿¼Ò Cyp 24



±×·¯³ª

1³â 1ȸ 50¸¸ IU º¹¿ë¹ýÀº

°ñÀýÀ» Áõ°¡ ½ÃŲ´Ù.



±× ÀÌÀ¯ÀÎÁï

º¹¿ëÇÏÀÚ¸¶ÀÚ ¹Ýµ¿ ÀÛ¿ëÀÌ ³ªÅ¸³ª

Ȱ¼º ºñŸ¹ÎD ¸¦ ÆÄ±«½Ã۱⠶§¹®ÀÌ´Ù.



±× °úÁ¤Àº ´ÙÀ½°ú °°´Ù.



º¹¿ëÇÑ ¾àÀº ÀÏ´Ü °£¿¡

ºÒȰ¼º »óÅÂÀÎ ºñŸ¹ÎD·Î ÀúÀå µÈ´Ù.



±×¸®°í ¸ÅÀÏ ÀÏÁ¤·®ÀÌ

°£¿¡¼­ ¼ö»ê±â(OH) ÇÑ °³°¡ ºÙÀº

Ȱ¼ºÇü 25-(OH) Vit D ·Î º¯ÇÑ´Ù.



À̸¦ Calcifediol À̶ó ÇÑ´Ù.



Calcifediol Àº Ç÷ÁßÀ¸·Î À¯¸®µÇ¾î

ÇÊ¿äÇÑ Á¶Á÷À¸·Î ħÅõÇÑ´Ù.



20100607_16

[±×¸²] Á¶Á÷¿¡¼­  Ȱ¼º ºñŸ¹Î-D (Calcifetriol) À» ÆÄ±«½ÃŰ´Â È¿¼Ò Cyp 24



Áï,

»À¿Í

±ÙÀ°°ú

³ú¿Í

½ÉÀå°ú

½ÅÀå°ú

¸é¿ª ¼¼Æ÷ µîÀ¸·Î ħÅõÇÑ´Ù.



20100607_17

[±×¸²] Á¶Á÷¿¡¼­ Ȱ¼º ºñŸ¹ÎD (Calcifetriol) À» ÆÄ±«½ÃŰ´Â È¿¼Ò Cyp 24



CalcifediolÀº °¢ Á¶Á÷ ³»¿¡¼­ ´Ù½Ã

¼ö»ê±â(OH) Çϳª°¡ ´õ ºÙÀº

1, 25(OH)Vit D ·Î º¯ÇÑ´Ù.



À̸¦ Calcifetriol À¸·Î ºÎ¸¥´Ù.



20050904_03

[±×¸²] Á¶Á÷ ¿¡¼­ Ȱ¼º ºñŸ¹ÎD (Calcifetriol) ´Â

¡¡¡¡¡¡ºñŸ¹ÎD ¼ö¿ëüÀÎ VDR¿¡ °áÇÕÇÏ¿© ¾àÈ¿¸¦ ¹ßÈÖÇÑ´Ù.



ÀÌ Calcifetriol Àº

°¢ Á¶Á÷¿¡ Á¸ÀçÇÏ´Â ºñŸ¹ÎD ¼ö¿ëü(VDR) ¿¡

°áÇÕ ÇÔÀ¸·Î¼­ µåµð¾î

ºñŸ¹ÎDÀÇ ¾àÈ¿¸¦ ¹ßÈÖÇÑ´Ù.



¸¸¾à 50¸¸ ´ÜÀ§¸¦ Çѹø¿¡ º¹¿ëÇÏ´Â °æ¿ì´Â

Calcifetriol À» ÆÄ±«½ÃÄѹö¸®´Â

È¿¼Ò (Cyp 24)°¡ °©ÀÚ±â ÇÕ¼º µÇ¾î

ÇÊ¿äÀÌ»óÀ¸·Î Calcifetriol À» ÆÄ±«½ÃŲ´Ù



µû¶ó¼­ °£¿¡´Â ºñŸ¹ÎD °¡ 1³âºÐ À̳ª ÀúÀåµÇ¾î ÀÖÀ¸³ª

Á¶Á÷¿¡¼­´Â ºñŸ¹ÎD °áÇÌ Áõ»óÀÌ ³ªÅ¸³­´Ù.



20100607_18

[±×¸²] ³ú¿¡´Â ºñŸ¹ÎD ¼ö¿ëü°¡ ¸Å¿ì ¸¹ÀÌ Á¸ÀçÇÑ´Ù

¡¡¡¡¡¡ºñŸ¹ÎD ´Â ƯÈ÷ ½Å°æÀü´Þ ¹°Áú Dopamine À» Áõ°¡ ½ÃÄÑÁÖ´Â

¡¡¡¡¡¡ºñŸ¹ÎÀÌ´Ù. DopamineÀº ¿îµ¿·Â¿¡ Ȱ±â¸¦ Áõ°¡½ÃŲ´Ù.



50¸¸ ´ÜÀ§ °í·®¿¡¼­´Â

¿Ö ³«»óÀÌ Áõ°¡Çϳª



ºñŸ¹ÎD´Â

³úÀÇ ½Å°æÀü´Þ ¹°ÁúÀÎ

Dopamine À» Áõ°¡½ÃŰ´Â ºñŸ¹ÎÀÌ´Ù.



ÇØ¼­ ºñŸ¹ÎD¸¦ ÃæºÐ·® ¼·ÃëÇÏ´Â ÀÚµéÀº

»ý±âÂù Ȱµ¿Àû Á¤±â°¡ ³ÑÄ£´Ù.



20100607_19

[±×¸²] ³ú¿¡´Â ºñŸ¹Î-D ¼ö¿ëü°¡ ¸Å¿ì ¸¹ÀÌ Á¸ÀçÇÑ´Ù.

¡¡¡¡¡¡ºñŸ¹ÎD´Â ƯÈ÷ ½Å°æÀü´Þ ¹°Áú Dopamine À» Áõ°¡½ÃÄÑÁÖ´Â ºñŸ¹ÎÀÌ´Ù.

¡¡¡¡¡¡Dopmaine Àº ¿îµ¿·Â¿¡ Ȱ±â¸¦ Áõ°¡½ÃŲ´Ù.



20100607_20



50¸¸ ´ÜÀ§¸¦ ÇÑ ¹ø¿¡ º¹¿ëÇÑ °æ¿ì´Â

º¹¿ë ÈÄ 3´Þ À̳»¿¡¼­´Â

»ç¶÷¿¡ µû¶ó¼­´Â

Dopamin ÀÌ Æ¯È÷ Áõ°¡µÈ »óŸ¦ Áö´Ï°Ô µÈ´Ù.



ÇØ¼­ Ȱµ¿À» °¨ÇàÇÏ´Â ±âȸ°¡ Áõ°¡ÇÑ´Ù.



Áï ³«»ó ±âȸ°¡ Áõ°¡ ÇÑ´Ù.



20100607_21



°Ü¿ïö¿¡ º¹¿ë Ç߱⠶§¹®



ºñŸ¹ÎD ´Â ÀÎǪ·ç¿£ÀÚ µî

°Ü¿ïö È£Èí±â °¨¿°À» ¿¹¹æÇÏ´Â ÀÛ¿ëÀÌ ÇöÀúÇÏ´Ù.



ºñŸ¹ÎD ¼ö¿ëü¸¦ ¸¹ÀÌ Áö´Ï°í ÀÖ´Â

¸¶Å©·ÎÆÄÁö°¡ ¹ÙÀÌ·¯½º¸¦ ¾ïÁ¦ÇØÁֱ⠶§¹®ÀÌ´Ù.



20100607_22

[±×¸²] ¸é¿ª »ç·É°ü Macrophage ¿¡ ºñŸ¹ÎD°¡ ÀÛ¿ëÇϸé

¡¡¡¡¡¡»ý¸® Ç×»ýÁ¦ CathelicidinÀ» ¸¸µé¾î³»¾î ¹ÙÀÌ·¯½º¿Í ¼¼±ÕÀ» Á¦°ÅÇÑ´Ù.



º» ÀÓ»ó¿¡¼­´Â

°Ü¿ïö¿¡ Çѹø¾¿ 50¸¸ ´ÜÀ§¸¦ º¹¿ëÇß´Ù.



µû¶ó¼­ »ó´ç¼öÀÇ ³ëÀεéÀº

°¨±â µîÀ¸·Î ºÎÅÍ ÇØ¹æµÉ ¼ö ÀÖ¾ú´Ù.



µû¶ó¼­ ¿ÜÃâÇÒ ±âȸ°¡ ¸¹¾ÆÁö°í

³«»ó ±âȸµµ ¾Æ¿ï·¯ ¸¹¾ÆÁø °ÍÀ̶ó°í ¼³¸íÇϰí ÀÖ´Ù.



[±Ù°Å]

JAMA. 2010 May 12;303(18):1815-1822.

Annual High-Dose Oral Vitamin D and Falls and Fractures in Older Women A Randomized Controlled Trial

Kerrie M. Sanders, PhD; Amanda L. Stuart, BappSc; Elizabeth J. Williamson, MA, PhD; Julie A. Simpson, PhD; Mark A. Kotowicz, MBBS, FRACP; Doris Young, MD, MBBS, FRACGP; Geoffrey C. Nicholson, PhD, FRACP

Department of Clinical and Biomedical Sciences, Barwon Health, University of Melbourne, Geelong (Drs Sanders, Kotowicz, and Nicholson and Ms Stuart); Centre for Molecular, Environmental, Genetic and Analytic Epidemiology, School of Population Health, University of Melbourne, Carlton (Drs Williamson and Simpson); Murdoch Children¡¯s Research Institute, and Royal Children¡¯s Hospital (Dr Williamson); and Department of General Practice, University of Melbourne, Parkville, Victoria (Dr Young), Australia.



 



Ãßõ¼ö 366
³»¿ë¸¸Á·µµ
´äº¯ ³»¿ë ¸¸Á·µµ Á¶»ç´Â ÇâÈÄ ´õ ÁÁÀº ¼­ºñ½º¸¦ À§ÇÑ µ¥ÀÌÅÍ·Î »ç¿ëµË´Ï´Ù.

»ó´ã¾È³»

010. 6605 . 4128

±Ã±ÝÇÑ Á¡Àº ¿Â¶óÀλó´ã ¹× ÀüÈ­·Î ¹®ÀÇÇϽøé
ÀÚ¼¼ÇÏ°Ô ¾È³»ÇØ µå¸®°Ú½À´Ï´Ù.

¿Â¶óÀÎ 1:1 ¹®ÀÇ